챗지피티 유료버전 인공지능 답변
User
다른 대부분 포유류 영장류들은 비타민c를 생합성 할수 있지만 인간은 그러지 못한다는 것이 사실이야? 구체적으로 어떤 유전자가 사람에게 결핍되어 그런일이 있어나는 것인지 알려줘
ChatGPT
It's true that unlike most other mammals and primates, humans are unable to synthesize vitamin C. This inability is due to the lack of a specific gene required for the synthesis of the enzyme L-gulonolactone oxidase, which is necessary for converting glucose into vitamin C. In humans, this gene is mutated and nonfunctional, a condition shared with some other species, including guinea pigs and certain species of bats and birds. The gene in question is often referred to as the GULO (gulonolactone (L-) oxidase) gene, and its deficiency prevents the biosynthesis of ascorbic acid (vitamin C) from glucose. This mutation occurred millions of years ago, which means that humans, unlike most animals, need to obtain vitamin C from their diet.
다른 대부분의 포유류와 영장류와는 달리 인간은 비타민 C를 합성할 수 없다는 것이 사실입니다. 이런 무능력은 포도당을 비타민 C로 전환하는 데 필요한 효소 L-gulonolactone oxidase의 합성에 필요한 특정 유전자가 부족하기 때문입니다. 인간에게는 이 유전자가 변이되어 기능하지 않는데, 이런 상태는 기니피그, 일부 박쥐 종과 조류 종도 공유하고 있습니다. 이 유전자는 종종 GULO (gulonolactone (L-) oxidase) 유전자라고 부르며, 이 유전자의 결핍으로 인해 포도당에서 아스코르브산(비타민 C)의 생합성이 이루어지지 않습니다. 이 변이는 수백만 년 전에 발생했기 때문에 인간은 대부분의 동물과 달리 식단에서 비타민 C를 섭취해야 합니다.
User
glucose가 L-gulonolactone oxidase 활성을 통해 비타민 c가 합성되는 생합성 경로를 알려줘
ChatGPT
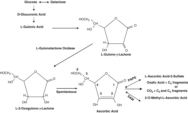
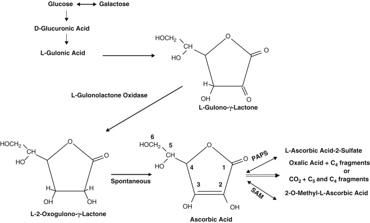
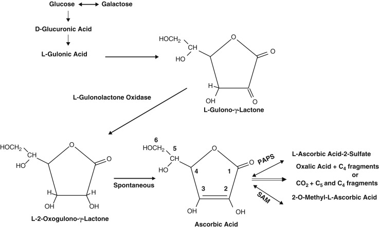
The biosynthesis pathway of vitamin C (ascorbic acid) from glucose involves several biochemical steps, which are facilitated by specific enzymes. In animals that can synthesize vitamin C, the process typically includes the conversion of glucose to L-ascorbate through a series of enzymatic reactions. Here's a simplified overview of the pathway:
Conversion of Glucose to Glucose-6-phosphate: The first step involves the conversion of glucose to glucose-6-phosphate by the enzyme hexokinase.
Conversion to 6-Phosphogluconolactone: Glucose-6-phosphate is then converted to 6-phosphogluconolactone by glucose-6-phosphate dehydrogenase as part of the pentose phosphate pathway.
Conversion to 6-Phosphogluconate: 6-Phosphogluconolactone is hydrolyzed to 6-phosphogluconate.
Conversion to Ribulose-5-phosphate: 6-Phosphogluconate is then converted to ribulose-5-phosphate by 6-phosphogluconate dehydrogenase.
Conversion to D-Ribulose and D-Xylulose: Ribulose-5-phosphate is isomerized to D-ribulose, which can then be converted to D-xylulose.
Conversion to D-Gulonic Acid: D-Xylulose is converted to D-gulonic acid through a series of reactions.
Conversion to L-Gulonolactone: D-Gulonic acid is reduced to L-gulonolactone by the enzyme L-gulonolactone oxidase.
Conversion to Vitamin C (L-Ascorbic Acid): Finally, L-gulonolactone is converted to L-ascorbic acid (vitamin C) by the same enzyme, L-gulonolactone oxidase.
It's at step 7 where humans and some other species differ from those that can synthesize vitamin C. In humans, the gene for L-gulonolactone oxidase is mutated (GULO gene), rendering it nonfunctional. As a result, humans cannot convert L-gulonolactone to L-ascorbic acid, making vitamin C an essential dietary requirement.
This pathway is simplified and focuses on the main steps relevant to the conversion of glucose to vitamin C in organisms capable of synthesizing it. The actual biochemical pathways can be more complex and involve additional steps and enzymes, depending on the species.
포도당에서 비타민 C(아스코르브산)의 생합성 경로는 여러 생화학적 단계를 거치며 특정 효소에 의해 촉진됩니다. 비타민 C를 합성할 수 있는 동물에서는 일반적으로 일련의 효소 반응을 통해 포도당이 L-아스코르브산으로 전환됩니다. 경로의 간단한 개요는 다음과 같습니다.
포도당의 글루코스-6-인산 전환: 첫 번째 단계는 헥소키나제 효소에 의해 포도당이 글루코스-6-인산으로 전환됩니다.
6-인산글루코노락톤 전환: 그런 다음 포도당-6-인산은 펜토스 인산 경로의 일부로 글루코스-6-인산 탈수소효소에 의해 6-인산글루코노락톤으로 전환됩니다.
6-인산글루콘산 전환: 6-인산글루코노락톤은 가수분해되어 6-인산글루콘산이 됩니다.
리불로스-5-인산 전환: 6-인산글루콘산은 6-인산글루콘산 탈수소효소에 의해 리불로스-5-인산으로 전환됩니다.
D-리불로스 및 D-자일로스 전환: 리불로스-5-인산은 D-리불로스로 이성질체화되며, 이것이 D-자일로스로 전환될 수 있습니다.
D-구론산 전환: D-자일로스는 일련의 반응을 거쳐 D-구론산으로 전환됩니다.
L-구로노락톤 전환: D-구론산은 L-구로노락톤 산화효소에 의해 L-구로노락톤으로 환원됩니다.
비타민 C(L-아스코르브산) 전환: 마지막으로 L-구로노락톤은 동일한 효소인 L-구로노락톤 산화효소에 의해 L-아스코르브산(비타민 C)으로 전환됩니다.
7단계에서 인간과 일부 다른 종들은 비타민 C를 합성할 수 있는 종들과 다릅니다. 인간에게는 L-구로노락톤 산화효소 유전자(GULO 유전자)가 변이되어 기능하지 않습니다. 결과적으로 인간은 L-구로노락톤을 L-아스코르브산으로 전환할 수 없어 비타민 C를 식이요구량으로 섭취해야 합니다.
이 경로는 간소화되었고 포도당에서 비타민 C로의 전환과 관련된 주요 단계에 초점을 맞추었습니다. 실제 생화학 경로는 더 복잡할 수 있으며 종에 따라 추가적인 단계와 효소가 포함될 수 있습니다.

'연구결과' 카테고리의 다른 글
| 트리고넬린(Trigonelline) 이란?(NAD+ 관계, 효능, 섭취법, 주의점) (0) | 2024.03.22 |
|---|---|
| 간헐적 단식이 오히려 사망률을 높인다?(2024.03.18) (0) | 2024.03.19 |
| 비타민c 혈중농도와 사망률의 상관관계 연구결과들 (0) | 2024.03.14 |
| 요오드 하루 섭취 용량에 대한 연구자료(아브라함 박사) (0) | 2024.03.14 |
| 타미플루(한미플루) 부작용 시 조치방법 (0) | 2023.12.17 |