이번시간에는 콘드로이친 이란 무엇인지에 대해 설명해 봅니다.
콘드로이친 이란?
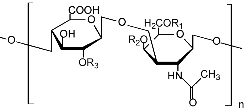
- 영어로 Chondroitin 이며, 주로 황 (sulfate)와 결합하여 콘드로이틴 황산염으로 자연에 주로 존재합니다. 세포외 기질 (Extracellular matrix)에 존재하는 프로테오글리칸(Proteoglycan)의 구성성분으로 단백질에 부착되어 있습니다.
- 콘드로이틴 사슬은 100개 이상의 개별 당을 가질 수 있으며, 각 당은 다양한 위치와 양으로 황산화될 수 있습니다.

연골의 구성성분
- 콘드로이틴 설페이트는 연골 의 중요한 구조적 구성 요소 이며, 글루코사민과 함께 연골의 압축 에 대한 저항성을 제공합니다.
건강기능식품으로 콘드로이친 효과
- 콘드로이친황산은 관절과 연골 등에 존재하는 생리활성물질로서 관절 · 연골에 영양을 공급하며 연골 분해 효소를 억제하고 새로운 연골 형성을 촉진하는 것으로 알려져 있습니다.
- 류마티스학회 유럽연합(EULAR)에서는 2003년에 이미 무릎 골관절염 치료를 위해 콘드로이친황산을 섭취할 것을 강력하게 권고한 바 있습니다.
1. 관절염 통증 기능 개선
- 퇴행성 관절염이라고도 불리는 골관절염은 가장 높은 빈도로 나타나는 관절의 염증성 질환으로 관절을 이루는 뼈와 뼈 사이에서 충격을 흡수하는 관절 연골의 점진적인 손상이나 퇴행성 변화로 인해 관절을 이루는 뼈와 관절막, 주변 인대 중에 이차적 손상이 일어나 통증과 변형, 기능 장애를 일으키는 질환입니다.
- 2019년 Honvo와 연구자들은 콘드로이친황산의 섭취가 골관절염에 미치는 영향을 평가하기 위해 총 3,791명의 피험자를 대상으로 시행된 18개의 연구를 종합 검토했는데요. 이 연구에서는 골관절염의 관리에 있어 콘드로이친황산의 섭취가 위약보다 우수하며 통증의 개선에 도움이 될 수 있음을 제시했습니다.
2. 관절염 환자 운동능력 개선
- 골관절염 증상 중 하나는 관절 운동 범위의 감소입니다. 연골의 소실과 변성에 의해 관절면이 불규칙해지면 관절을 움직일 때 마찰음이 느껴질 수 있습니다.
- 골관절염의 개선에 도움을 줄 수 있는 성분을 평가할 때에는 운동능력의 개선에 얼마나 영향을 미치는지도 중요한 변인으로 포함됩니다.
- 콘드로이친황산 역시 골관절염 환자의 운동능력에 미칠 수 있는 이점에 대한 영향 평가가 이루어진 바 있습니다. 무릎 골관절염 환자 42명을 대상으로 콘드로이친황산 섭취의 영향을 평가한 Uebelhart와 연구자들(1998)은 콘드로이친황산의 섭취에 따른 전반적인 운동 능력의 개선이 나타났음을 보고했습니다.
3. 관절염 관절 붓기 개선
- 골관절염으로 인해 발생하는 통증을 줄이고 염증을 완화시키기 위해 비스테로이드성 소염진통제(NSAID)를 복용하지만 장복시 여러 부작용 우려가 있습니다.
- 1,583명의 무릎 골관절염 환자를 대상으로 글루코사민과 콘드로이친황산, 비스테로이드성 소염진통제(NSAID)인 셀레콕시브의 영향을 평가한 연구에서는 기존에 관절 부종이 있었던 환자 중 콘드로이친황산 섭취군에서 위약군에 비해 부종의 유의한 개선이 나타났음을 보고했습니다.
콘드로이친1200 이란?
- 콘드로이친황산염의 건강기능식품 상품명이 바로 콘드로이친1200 입니다.
- 다양한 회사에서 콘드로이친1200 상품을 판매 중입니다.
- 건강기능식품일 경우 너무 저렴하면 원료가 저질일 가능성이 높으므로 피하는 것이 좋습니다. 신뢰도 있는 브랜드 상품을 구입하는 것이 좋습니다.
☞ 추천 콘드로이친1200 구매 바로가기
<함께보면 좋은 글↓↓>
2022.09.09 - [건강상식, 슈퍼푸드] - 손가락 마디 통증 원인들 및 통증해소 방법
손가락 마디 통증 원인들 및 통증해소 방법
손가락 마디에 통증으로 고생하시는 분들이 많은것 같습니다. 그래서 이번 시간에는 손가락 마디 통증의 원인들을 정리해 보았습니다. 퇴행성 관절염 ▶ 원인 및 증상 - 원발성 퇴행성 관절염은
healthyaging.tistory.com
2022.09.03 - [건강상식, 슈퍼푸드] - 방아쇠수지증후군 이란? (증상, 원인, 치료법)
방아쇠수지증후군 이란? (증상, 원인, 치료법)
이번 포스팅에서는 방아쇠수지증후군 이라는 증상에 대해 알아봅니다. 방아쇠수지증후군 이란? 손가락을 구부리거나 펴기가 힘들어지고, 동작을 시행할 때 '딸깍'하는 소리가 난다고 해서 방아
healthyaging.tistory.com
2022.04.18 - [연구결과] - 원형 탈모증 치료에 효과적인 관절염 치료제들
원형 탈모증 치료에 효과적인 관절염 치료제들
관절염 치료제인 바리시티닙에서 원형 탈모증 치료 효과 발견 영국 의료전문언론 메디컬뉴스투데이(medicalnewstoday) 등은 최근 미국 예일 의과대학 연구진이 원형 탈모증 환자들을 대상으로 류머
healthyaging.tistory.com
2022.05.09 - [건강상식, 슈퍼푸드] - 손톱으로 알 수 있는 건강상태들
손톱으로 알 수 있는 건강상태들
손톱 상태가 변했다면 질병의 신호일 수도 사람의 손톱은 원래 매끈하고 연한 살색이며, 자라난 부분은 흰색을 띤다. 손톱 색이 달라지거나 모양이 울퉁불퉁해지는 등 평소와 다르다면 건강상
healthyaging.tistory.com

'건강상식, 슈퍼푸드, 허브' 카테고리의 다른 글
| 인삼주 효능 부작용 주의사항 (만드는 팁, 숙성기간) (0) | 2023.02.19 |
|---|---|
| 아주까리 기름 효능 (피마자 오일, 탈모, 변비) (0) | 2023.02.11 |
| 카무트 효능 부작용 먹는법 (0) | 2023.02.02 |
| 설암 증상, 원인, 예후, 예방법 (0) | 2023.01.27 |
| 콜라비 효능 먹는법 부작용 (0) | 2023.01.15 |